Home Favorites My Account Menu
acceso
Anuncio

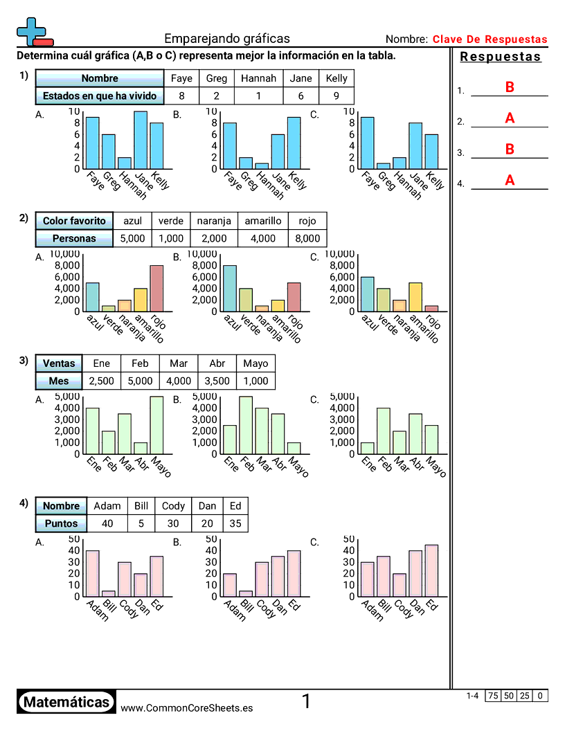
Ejercicios de gráficos de barra las

Nuestras hojas de trabajo de gráficas de barras son algunas de las mejores en internet para ayudar a los estudiantes a aprender cómo leer e interpretar datos. Estas hojas de trabajo son completamente gratuitas y se pueden utilizar en el aula o para tareas en casa. Con una variedad de diferentes ejercicios, nuestras hojas de trabajo de gráficas de barras son perfectas para practicar esta habilidad importante. Nuestras hojas cubren todo, desde la comparación de conjuntos de datos hasta la lectura y comprensión de las diferentes partes de una gráfica de barras. Así que si buscas las mejores hojas de trabajo de gráficas de barras en internet, ¡no busques más! Nuestras hojas de trabajo de gráficas de barras gratuitas son exactamente lo que necesitas.
Examinar hojas por tipo de problema
List View (old)
Image Size
Smaller Larger
×
Gráficos de barra tradicionales Enlace
Anuncio
Gráficos de barras apilados Enlace
Anuncio
Gráficas Enlace
Anuncio